When selecting the thermocouple compensation wire, you must know the ambient temperature of the thermocouple compensation wire and the on-site industrial and mining conditions, and select the appropriate compensation wire sheath according to the on-site environmental temperature. Generally, choose polyfluoroethylene sheath when the ambient temperature is -25~105℃. Jacket, when the ambient temperature is -60~205℃, choose polyperfluoroethylene as the sheath of the compensation wire, and when the ambient temperature is -60~260℃, choose polytetrafluoroethylene as the sheath of the thermocouple compensation wire. If you need to resist signal interference, you also need to use shielded compensation wires. Common shielding structures are tinned copper wire braided shielding, alloy wire shielding, and so on.

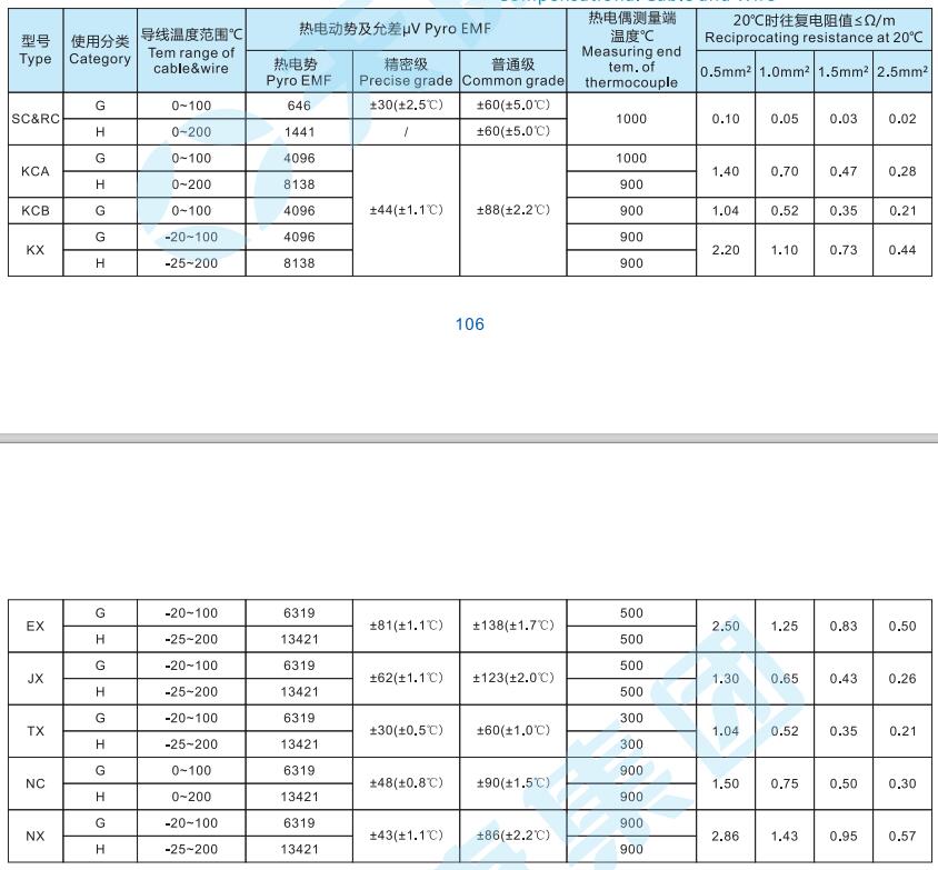
A stands for precise grade and Error Allowance of Compensational Cable and Wire
type s thermocouple cable Specification and Size
Intrinsically safe compensation wire / cable also have the following indicators
|
SC-G-VV |
PVC insulated twisted pair PVC sheathed compensation cable for thermocouple with accuracy grade s |
|
SC-G-VPV |
PVC insulated twisted pair copper wire braided separately shielded PVC sheath is generally used as compensation cable with accuracy grade s for thermocouple |
|
SC-G-VPVP |
PVC insulated twisted pair copper wire braided sub shield and general shield PVC sheath is generally used as compensation cable for accuracy grade s thermocouple |
|
SC-G-VVP |
PVC insulated twisted pair copper wire braided total Shielding PVC sheath is generally used as compensation cable with accuracy grade s for thermocouple |
|
SC-H-FF |
High temperature compensation cable for accuracy grade s division thermocouple with fluoroplastics insulated twisted pair fluoroplastics sheath |
|
SC-H-FP1F |
Fluoroplastic insulated twisted pair tinned copper wire braided separately shielded fluoroplastic sheathed high temperature compensation cable for accuracy grade s division thermocouple |
|
SC-H-FP1FP1 |
Fluoroplastic insulated twisted pair tinned copper wire braided sub shielded and total shielded fluoroplastic sheathed high temperature compensation cable for accuracy grade s thermocouple |
|
SC-H-FFP1 |
Fluoroplastic insulated twisted pair tinned copper wire braided total shielding fluoroplastic sheath accuracy grade s high temperature compensation cable for thermocouple |
|
SC-H-FV105 |
High temperature compensation cable for fluoroplastic insulated twisted pair heat resistant 105 ℃ PVC sheathed accuracy grade s thermocouple |
|
SC-H-FP1V105 |
Fluoroplastic insulated twisted pair tinned copper wire braided heat resistant 105 ℃ PVC sheathed high temperature compensation cable for accuracy grade s thermocouple |
|
SC-H-FP1V105P1 |
Fluoroplastic insulated twisted pair tinned copper wire braided split screen total shield heat resistant 105 ℃ PVC sheathed accuracy grade s high temperature compensation cable for thermocouple |
|
SC-H-FV105P1 |
Fluoroplastic insulated twisted pair tinned copper wire braided total shield heat resistant 105 ℃ PVC sheathed accuracy grade s high temperature compensation cable for thermocouple |
|
|
|
|
SC-G-VVR |
PVC insulated twisted pair PVC sheath is generally used as compensation cable for s-grade multi strand thermocouple |
|
SC-G-VPVR |
PVC insulated twisted pair copper wire braided separately shielded PVC sheath is generally used as compensation cable for accuracy grade s Multi Strand thermocouple |
|
SC-G-VPVPR |
PVC insulated twisted pair copper wire braided sub shield and general shield PVC sheath is generally used as compensation cable for accuracy grade s Multi Strand thermocouple |
|
SC-G-VVPR |
PVC insulated twisted pair copper wire braided total Shielding PVC sheath is generally used as s-grade multi strand thermocouple compensation cable |
|
SC-H-FFR |
Fluoroplastics insulated twisted pair fluoroplastics sheathed high temperature compensation cable for s-division multi strand thermocouple |
|
SC-H-FP1FR |
Fluoroplastic insulated twisted pair tinned copper wire braided separately shielded fluoroplastic sheathed high temperature compensation cable for multi strand thermocouple with accuracy grade s |
|
SC-H-FP1FP1R |
Fluoroplastics insulated twisted pair tinned copper wire braided sub shield and total shield fluoroplastics sheathed accuracy grade s Multi Strand thermocouple high temperature compensation cable |
|
SC-H-FFP1R |
Fluoroplastic insulated twisted pair tinned copper wire braided total shielding fluoroplastic sheath accuracy grade s Multi Strand thermocouple high temperature compensation cable |
|
SC-H-FV105R |
High temperature compensation cable for multi strand thermocouple with fluoroplastic insulated twisted pair heat resistant 105 ℃ PVC sheath accuracy grade s |
|
SC-H-FP1V105R |
Fluoroplastic insulated twisted pair tinned copper wire braided heat resistant 105 ℃ PVC sheathed high temperature compensation cable for accuracy grade s Multi Strand thermocouple |
|
SC-HS-FP1V105P1R |
Fluoroplastic insulated twisted pair tinned copper wire braided split screen total shielding heat resistant 105 ℃ PVC sheath accuracy grade s Multi Strand thermocouple high temperature compensation cable |
|
SC-H-FV105P1R |
Fluoroplastic insulated twisted pair tinned copper wire braided total shield heat resistant 105 ℃ PVC sheathed accuracy grade s Multi Strand thermocouple high temperature compensation cable |
|
|
|
|
Steel strip armor |
|
|
SC-G-VV22 |
PVC insulated twisted pair PVC sheath is usually armored with steel strip of compensation cable for accuracy grade s thermocouple |
|
SC-G-VPV22 |
PVC insulated twisted pair copper wire braided separately shielded PVC sheath is usually armored with compensation cable steel strip for accuracy grade s thermocouple |
|
SC-G-VPVP22 |
PVC insulated twisted pair copper wire braided with sub shield and general shield PVC sheath is usually armored with steel strip of compensation cable for thermocouple of accuracy grade s |
|
SC-G-VVP22 |
PVC insulated twisted pair copper wire braided total Shielding PVC sheath is usually armored with compensation cable steel strip for accuracy grade s thermocouple |
|
SC-H-FF22 |
Fluoroplastics insulated twisted pair fluoroplastics sheathed accuracy grade s high temperature compensation cable steel strip armoring for thermocouple |
|
SC-H-FP1F22 |
Fluoroplastic insulated twisted pair tinned copper wire braided shielding fluoroplastic sheath accuracy grade s high temperature compensation cable steel strip armoring for thermocouple |
|
SC-H-FP1FP1-22 |
Fluoroplastic insulated twisted pair tinned copper wire braided sub shield and total shield fluoroplastic sheath accuracy class s high temperature compensation cable steel strip armor for thermocouple |
|
SC-HS-FFP1-22 |
Fluoroplastic insulated twisted pair tinned copper wire braided total shielding fluoroplastic sheath accuracy grade s high temperature compensation cable steel strip armoring for thermocouple |
|
SC-HS-FV105-22 |
Fluoroplastic insulated twisted pair heat resistant 105 ℃ PVC sheathed accuracy grade s high temperature compensation cable steel strip armor for thermocouple |
|
SC-HS-FP1V105-22 |
Fluoroplastic insulated twisted pair tinned copper wire braided sub shield heat resistant 105 ℃ PVC sheath accuracy grade s high temperature compensation cable steel strip armor for thermocouple |
|
SC-HS-FP1V105P1-22 |
Fluoroplastic insulated twisted pair tinned copper wire braided split screen total shield heat resistant 105 ℃ PVC sheath accuracy grade s high temperature compensation cable steel strip armor for thermocouple |
|
SC-H-FV105P1-22 |
Fluoroplastic insulated twisted pair tinned copper wire braided total shield heat resistant 105 ℃ PVC sheath accuracy grade s high temperature compensation cable steel strip armor for thermocouple |
|
|
|
|
Steel wire armour |
|
|
SC-G-VV32 |
PVC insulated twisted pair PVC sheathed compensation cable for thermocouple with accuracy grade s |
|
SC-GS-VPV32 |
PVC insulated twisted pair copper wire braided separately shielded PVC sheath is generally used as compensation cable with accuracy grade s for thermocouple |
|
SC-G-VPVP32 |
PVC insulated twisted pair copper wire braided sub shield and general shield PVC sheath is generally used as compensation cable for accuracy grade s thermocouple |
|
SC-G-VVP32 |
PVC insulated twisted pair copper wire braided total Shielding PVC sheath is generally used as compensation cable with accuracy grade s for thermocouple |
|
SC-H-FF32 |
High temperature compensation cable for accuracy grade s division thermocouple with fluoroplastics insulated twisted pair fluoroplastics sheath |
|
SC-H-FP1F32 |
Fluoroplastic insulated twisted pair tinned copper wire braided separately shielded fluoroplastic sheathed high temperature compensation cable for accuracy grade s division thermocouple |
|
SC-H-FP1FP1-32 |
Fluoroplastic insulated twisted pair tinned copper wire braided sub shielded and total shielded fluoroplastic sheathed high temperature compensation cable for accuracy grade s thermocouple |
|
SC-H-FFP1-32 |
Fluoroplastic insulated twisted pair tinned copper wire braided total shielding fluoroplastic sheath accuracy grade s high temperature compensation cable for thermocouple |
|
SC-H-FV105-32 |
High temperature compensation cable for fluoroplastic insulated twisted pair heat resistant 105 ℃ PVC sheathed accuracy grade s thermocouple |
|
SC-H-FP1V105-32 |
Fluoroplastic insulated twisted pair tinned copper wire braided heat resistant 105 ℃ PVC sheathed high temperature compensation cable for accuracy grade s thermocouple |
|
SC-H-FP1V105P1-32 |
Fluoroplastic insulated twisted pair tinned copper wire braided split screen total shield heat resistant 105 ℃ PVC sheathed accuracy grade s high temperature compensation cable for thermocouple |
|
SC-H-FV105P1-32 |
Fluoroplastic insulated twisted pair tinned copper wire braided total shield heat resistant 105 ℃ PVC sheathed accuracy grade s high temperature compensation cable for thermocouple |
Contact: Tiankang Export Sales Department
Phone: +86-18226665885
Tel: +86-0550-7788337
Email: sales@tiankangcable.com
Add: No.20# RenHe South Road,TianChang,AnHui Province,China